Sähköautojen lataaminen ja latausverkosto

salasana

Aktiivinen jäsen
Hiukan huvittava seurata keskustelua kun katsotaan puolin ja toisin vaan OMAN taloyhtiön ja asumismuodon kannalta asioita.

Joku kerros- tai rivitalossa jossa yhteinen parkkikenttä tolppineen, joku vanhemmassa rivarissa jossa autot vielä oven edessä.
Niinpä. Siitä huolimatta olisi mielestäni typerää olla tutkimatta onnistuuko se omassa yhtiössä vai ei.
 

salasana

Aktiivinen jäsen
Hyvä, että vihdoinkin tarkennat, miltä pohjalta olet asiaa kommentoimassa.
Ilmeisesti moderaattorit kokivat jonkin provosoivaksi niin laitetaan sitten uudestaan perusteluineen.

Tämä viesti oli ensimmäinen missä mainitsen huoneistokohtaisen latausaseman, yhdenvertaisuuden periaatteen ja kotitalousvähennyksen:

Tilanne on itseasiassa niin, että kahdessa huoneistossa on jo omat latausasemat osakkaan lukuun, eli yhdenvertaisuuden osalta tässä taloyhtiössä jokainen joutuu maksamaan oman latausasemansa jatkossa.
Parempi näin niin jokainen saa valita sellaisen kuin haluaa ja lisäksi siitä saa kotitalousvähennykset.

Tässä täsmennän oman latausaseman asennuksen kotitalousvähennyskelpoisuuden - vielä toiseen kertaan eri muodossa:

Jepp. Ja mainitsin asiasta, koska näin se omaan asuntoon toteutettiin - koska se oli läpihuutojuttu.

Lisäksi yritin täsmentää mikä oli ajatukseni, jotta keskustelu ei lähtisi sivuraiteille siinä kuitenkaan onnistumatta:

Eli lyhyesti jotta ei pointtini katoa tähän ylimääräiseen kontekstista irroitettuun meluun:
Tarkastakaa hallituksessa ja yhtiökokouksissa olisiko mahdollista asentaa huoneistojen laturit omaan lukuun kotitalousvähennyskelpoisena vai onko pakko toteuttaa taloyhtiön urakkana, koska silloin ei kotitalousvähennystä saa.

Mikäli joku tästä nyt provosoitui niin pahoittelut, mutta olisi ehkä syytä myös tarkastaa välillä onko ensinnäkin jatkuvasti esille tuotu oma kokemus asioista ja vaikka lainopillinen jargon tarpeellista itse asian sisältöön.

Ja yllä oleva on mielestäni tärkeää mainita jos siellä hallituksessa nyt sitten nähdään mörköjä tämän osalta, koska pitäisi mennä syvälle johonkin lakipykäliin, jotta voisi näitä asioita edes harkita.

Asia on juuri päinvastoin, koska taloyhtiön hallitukset koostuu useimmiten maallikoista ja se on myös koko toiminnan lähtökohta. Viranomaiset ovat velvoitettuja olettamaan, että taloyhtiön hallitus toimii parhaan ymmärryksensä mukaan eli oletus ei ole, että taloyhtiön hallitus muodostetaan vähintään rakennusinsinööristä, asianajajasta ja veroviranomaisesta, jotka tekevät aina täysin milliilleen oikein. On luonnollisesti täysin eri asia mikäli pyritään tietoisesti jossain asiassa harhauttamaan tai tarkoituksella toimimaan lainvastaisesti.
 

Arisoft

Hyperaktiivi
Asia on juuri päinvastoin, koska taloyhtiön hallitukset koostuu useimmiten maallikoista ja se on myös koko toiminnan lähtökohta. Viranomaiset ovat velvoitettuja olettamaan, että taloyhtiön hallitus toimii parhaan ymmärryksensä mukaan eli oletus ei ole, että taloyhtiön hallitus muodostetaan vähintään rakennusinsinööristä, asianajajasta ja veroviranomaisesta, jotka tekevät aina täysin milliilleen oikein. On luonnollisesti täysin eri asia mikäli pyritään tietoisesti jossain asiassa harhauttamaan tai tarkoituksella toimimaan lainvastaisesti.

En tiedä viranomaisista mutta se ei poista vastuuta hallitustyöskentelyssä että ei osaa. Jos hallitus toimii lainvastaisesti niin hallitus joutuu siitä edesvastuuseen. Ei siellä anneta mitään alennusta siitä että ei tiennyt.

Hallituksella on päätösvallan myötä myös vastuu toimistaan. Asunto-osakeyhtiölaissa on säädetty, että hallituksen tulee olla toimissaan huolellinen ja edistää yhtiön etua. Hallitukselle on asetettu siis huolellisuusvelvoite, jota sen tulee noudattaa kaikessa toiminnassaan.

Lähde
 

anders

Vakionaama
En tiedä viranomaisista mutta se ei poista vastuuta hallitustyöskentelyssä että ei osaa. Jos hallitus toimii lainvastaisesti niin hallitus joutuu siitä edesvastuuseen. Ei siellä anneta mitään alennusta siitä että ei tiennyt.

Juridisesti toki ei.

Käytännössä kyllä. Hallituksen pitää mokata ihan kunnolla, että saatetaan kunnolla vastuuseen henkilökohtaisesti.

Lähinnä näitä törkeitä laiminlyöntejä ja niistä johtuvia loukkaantumisia - tai vakavampaa - on yleensä tuomioon asti rankaistu. Pikku ja vähän laajemmankin osaamattomuuden saa kyllä yleensä anteeksi, valitettavasti.
 

Lurkus

Vakionaama
Kannattaahan tuo taloyhtiön latausinfra ehkä laittaa kuntoon vaikka kellään ei olisikaan sähköautoa. Luulen että maksaa itsensä takaisin jos pikkusen miettii ja kilpailuttaa hankinnan. Kaikkien etu on jos taloyhtiön haluttavuus ja hintataso nousee. Uskoisin että suurelle osalle ostajia on plussaa, jos taloyhtiössä lataus onnistuu helposti ja kohtalaisen taloudellisesti.
 

Arisoft

Hyperaktiivi
Kannattaahan tuo taloyhtiön latausinfra ehkä laittaa kuntoon vaikka kellään ei olisikaan sähköautoa. Luulen että maksaa itsensä takaisin jos pikkusen miettii ja kilpailuttaa hankinnan. Kaikkien etu on jos taloyhtiön haluttavuus ja hintataso nousee. Uskoisin että suurelle osalle ostajia on plussaa, jos taloyhtiössä lataus onnistuu helposti ja kohtalaisen taloudellisesti.

Hyvältä kuulostaa, mutta kestääkö ajatus lähemmän tarkastelun?

Kannataa vaikka kellään ei ole sähköautoa? Ei kyllä millään matematiikalla silloin kannata. Pelkkää menoa ei tuloja.

Maksaa takaisin jos miettii ja kilpailuttaa? En tiedä miten maksaa takaisin, kun ei tuota mitään. Kuluja voi pienentää mutta että voittoa kertyisi? Ei - kyllä viivan alle jää aina miinus. Taloudellisesti näistä voi hyötyä vain jos sähkön hinta on edullinen ja omistaa sähköauton. Myyntihinnassa ei latauspiste näy sen paremmin kuin ilmastointilaitekaan. Helpottaa kauppaa mutta ei se neliöhintaa nosta vaikka toivoisi.

Kaikkien etu että haluttavuus ja hintataso nousee. Tämähän on vain sijoitusasunnon omistajien etu, ei suinkaan kaikkien. Osa porukasta kärsii sen tappiona koska eivät välttämättä edes omista autoa saati sähköautoa.

Viimeinen lause kelpaa :) vaikka ei olisi sähköautoa koska sellainen voi silti olla tulossa.

Mutta ei huolta. 10 vuoden kuuttua latureita näkyy paljon enemmän kuin nyt. Ei johdu hyvistä markkinapuheista vaan iihan siitä että ne asukkaat ostaa nitä autoja ja sitten tarviivat ladata niitä.
 

Lurkus

Vakionaama
Hyvältä kuulostaa, mutta kestääkö ajatus lähemmän tarkastelun?

Kannataa vaikka kellään ei ole sähköautoa? Ei kyllä millään matematiikalla silloin kannata. Pelkkää menoa ei tuloja.

Maksaa takaisin jos miettii ja kilpailuttaa? En tiedä miten maksaa takaisin, kun ei tuota mitään. Kuluja voi pienentää mutta että voittoa kertyisi? Ei - kyllä viivan alle jää aina miinus. Taloudellisesti näistä voi hyötyä vain jos sähkön hinta on edullinen ja omistaa sähköauton. Myyntihinnassa ei latauspiste näy sen paremmin kuin ilmastointilaitekaan. Helpottaa kauppaa mutta ei se neliöhintaa nosta vaikka toivoisi.

Kaikkien etu että haluttavuus ja hintataso nousee. Tämähän on vain sijoitusasunnon omistajien etu, ei suinkaan kaikkien. Osa porukasta kärsii sen tappiona koska eivät välttämättä edes omista autoa saati sähköautoa.

Viimeinen lause kelpaa :) vaikka ei olisi sähköautoa koska sellainen voi silti olla tulossa.

Mutta ei huolta. 10 vuoden kuuttua latureita näkyy paljon enemmän kuin nyt. Ei johdu hyvistä markkinapuheista vaan iihan siitä että ne asukkaat ostaa nitä autoja ja sitten tarviivat ladata niitä.
Jännä että moni remontoi taloja ja arvo nousee, joskus jopa enemmän kuin käytetty raha remonttiin. Nopeampi myyntiaika on myös positiivista. Joillain köyhillä juoksee lainojen korot ja etua on jos sen saa poikki aikaisemmin. Uusia taloja tehdessä on näyttänyt olevan ongelmana saada asukkaat niihin taloihin. Minusta on hyvä jos mahdollisimman nopeasti saadaan asuntoihin osakkaat. Isäni mm on vaihtamassa taloyhtiötä siitä syystä että nykyisessä taloyhtiössä latauksen mahdollistaminen tuntuu hankalalta. Hän saattaa myydä osakkeensa pois melko edullisesti, joka toki tiputtaa yhtiön neliöhintaa. Sen lisäksi hän olisi valmis maksamaan enemmän, että saisi ladattua autoa. Taloudellisesti tämä ei ole hänelle järkevää, mutta mahdollista. Voittona siis näkisin nykyiselle yhtiölle että hän pysyisi osakkaana. Hän asuu yksin 120m2 asunnossa, eli maksaa melko hyvin vastiketta suhteessa siihen kuinka paljon hän kuluttaa esimerkiksi hissin koneistoa. Normaalisti asunnossa voisi asua neljäkin ihmistä hissiä kuluttamassa.
 

Arisoft

Hyperaktiivi
Jännä että moni remontoi taloja ja arvo nousee, joskus jopa enemmän kuin käytetty raha remonttiin.

Suositellaan myös ettei remontoida myyntiä varten koska remonttikuluja ei saa takaisin. Televisiossa kyllä ostetaan remontoimattomia taloja ja myydään sitten remontoituina. Tässä on monta totuutta ja tulokulmaa.

Helsingissä Kuninkaantammessa oli uudessa kerrostalossa myymättömiä huoneistoja vielä jäljellä eivätkä tuntuneet menevän kaupaksi. Siellä oli kyllä latauspisteitä parkkihallissa, mutta hallipaikat oli osakkeita ja kaikki myyty. Syynä kaupungin päättäjät, jotka halusivat sinne autottomia asukkaita eikä alueelle pääse muuten kuin ajamalla Vantaan kautta :) kun oli jäänyt moottoritien liittymäkin rakentamatta. Asunto oli edullinen eikä autopaikkaakaan tarvittaisi, mutta sen myyminen joskus edelleen tuntui mahdottomalta ilman autopaikkaa. Ei siis tullut kauppoja. Jäi ehkä Musta-Pekka grynderin käteen.

Sen lisäksi hän olisi valmis maksamaan enemmän, että saisi ladattua autoa. Taloudellisesti tämä ei ole hänelle järkevää, mutta mahdollista. Voittona siis näkisin nykyiselle yhtiölle että hän pysyisi osakkaana.

Yhtiö ei näe asiaa näin. Heillehän vastikkeet tulee ihan siitä riippumatta haluaako osakas asua vaiko ei. Esimerkkisi on kuitenkin hyvin uskottava kaikin puolin. Ihan samanlaista veivaamista on muissakin asioissa ollut aikoinaan. Siirtyessäni kerrostalosta omakotitaloon sain hankittua satelliittilautasen, joka kerrostalossa ei onnistunut. Se on yhä seinällä mutta ei ole ollut enää vuosiin käytössä. Sen aika meni jo, mutta tuo oli ainoa tapa saada se. Latauslaitteen ostin samaan aikaan kun autonkin, mutta sen asennuksen kanssa toista vuotta ennen kuin jaksoin ruuvata sen seinään. Shukokin näet riitti kun ei matkustanut paljoa, mutta sain sen heti kun halusin. Ei tarvinnut myydä ideaa hallitukselle eikä yhtiökokoukselle.
 

salasana

Aktiivinen jäsen
Asunto-osakeyhtiölaissa on säädetty, että hallituksen tulee olla toimissaan huolellinen ja edistää yhtiön etua. Hallitukselle on asetettu siis huolellisuusvelvoite, jota sen tulee noudattaa kaikessa toiminnassaan.

Lähde
Juu tuota tarkoitin, mutta väärät sanat tuli valittua, koska en jaksa etsiä viitteitä tai koko aihettakaan sen kummemmin enää.
 

Lurkus

Vakionaama
Suositellaan myös ettei remontoida myyntiä varten koska remonttikuluja ei saa takaisin. Televisiossa kyllä ostetaan remontoimattomia taloja ja myydään sitten remontoituina. Tässä on monta totuutta ja tulokulmaa.

Helsingissä Kuninkaantammessa oli uudessa kerrostalossa myymättömiä huoneistoja vielä jäljellä eivätkä tuntuneet menevän kaupaksi. Siellä oli kyllä latauspisteitä parkkihallissa, mutta hallipaikat oli osakkeita ja kaikki myyty. Syynä kaupungin päättäjät, jotka halusivat sinne autottomia asukkaita eikä alueelle pääse muuten kuin ajamalla Vantaan kautta :) kun oli jäänyt moottoritien liittymäkin rakentamatta. Asunto oli edullinen eikä autopaikkaakaan tarvittaisi, mutta sen myyminen joskus edelleen tuntui mahdottomalta ilman autopaikkaa. Ei siis tullut kauppoja. Jäi ehkä Musta-Pekka grynderin käteen.



Yhtiö ei näe asiaa näin. Heillehän vastikkeet tulee ihan siitä riippumatta haluaako osakas asua vaiko ei. Esimerkkisi on kuitenkin hyvin uskottava kaikin puolin. Ihan samanlaista veivaamista on muissakin asioissa ollut aikoinaan. Siirtyessäni kerrostalosta omakotitaloon sain hankittua satelliittilautasen, joka kerrostalossa ei onnistunut. Se on yhä seinällä mutta ei ole ollut enää vuosiin käytössä. Sen aika meni jo, mutta tuo oli ainoa tapa saada se. Latauslaitteen ostin samaan aikaan kun autonkin, mutta sen asennuksen kanssa toista vuotta ennen kuin jaksoin ruuvata sen seinään. Shukokin näet riitti kun ei matkustanut paljoa, mutta sain sen heti kun halusin. Ei tarvinnut myydä ideaa hallitukselle eikä yhtiökokoukselle.
Tuli tästä asiasta puhuttuakin äsken isän kanssa muiden asioiden ohella. Juuri saamani tiedon mukaan hallituksesta on poistunut yksi sielu, ja yleensäkin elävien kirjoista. Tilanne on kääntynyt paremmaksi ja nyt etsitään jo sopivaa palveluntarjoajaa ja pohditaan olisiko sittenkin kiinteä kk maksu sopivin malli auton lataukselle. Kahdessa muussa isäni osakkeessa on näin. Toisessa 16e ja toisessa 20e kuukaudessa. Saa ladata tallissa schuko pistokkeesta joka on lataukselle sopivaksi todettu. Ei järin nopea, mutta toimiva.
 

Arisoft

Hyperaktiivi
Kahdessa muussa isäni osakkeessa on näin. Toisessa 16e ja toisessa 20e kuukaudessa. Saa ladata tallissa schuko pistokkeesta joka on lataukselle sopivaksi todettu. Ei järin nopea, mutta toimiva.

Omasta kokemuksesta tiedän että tuo latausteho usein riittää hyvin. Kiinteä kk-maksu tekee laskutuksen helpoksi. Tokihan sinne voisi asentaa kWh-mittarin vaikka pelkkää seurantaa varten.
 

Lurkus

Vakionaama
Omasta kokemuksesta tiedän että tuo latausteho usein riittää hyvin. Kiinteä kk-maksu tekee laskutuksen helpoksi. Tokihan sinne voisi asentaa kWh-mittarin vaikka pelkkää seurantaa varten.
Jep, niin omastakin kokemuksesta riittää, minulle. Ehkä tuohon vielä joskus palataan koti ja taloyhtiön latauksissa yleensäkin jos autojen latausnopeudet kehittyy nopeammaksi. Silloin kotona riittäisi hyvin pienempi latausteho.
 

fraatti

Hyperaktiivi
Jep, niin omastakin kokemuksesta riittää, minulle. Ehkä tuohon vielä joskus palataan koti ja taloyhtiön latauksissa yleensäkin jos autojen latausnopeudet kehittyy nopeammaksi. Silloin kotona riittäisi hyvin pienempi latausteho.
Omasta mielestä suuremmasta latausnopeudesta ei ole mitään haittaa(tarkoitan tässä AC:tä). Se antaa joustavuutta lisää. Voi lipastaa akun täyteen halvoimmilla tunneilla tai pikkuhiljaa liruttelemalla. Samoin jos ajotarvetta tuleekin syystä tai toisesta äkillisesti niin akkuun saa jotain eloa varsin nopeastikin. Tähän yhdistettynä kuormanhallinta mahdollistaa liitymän tehon rajoittamisen. Puhutaan nyt vaikka jostain 10kW lataustehoista. Toki, kuulin eräältä alalla työskentelevältä että valmius autonlaataamisiin ei olekaan niin suuri kuin mitä mediasta on saanut lukea. Vaan verkoissa on oikeasti pullonkauloja, myös uusituissa osissa....

Korkeammalla latausteholla myös latauksen hyötysuhde on jotakuinkin autosta riippumatta parempi eli vähemmän menee harakoille.
 

kotte

Hyperaktiivi
Pikku ja vähän laajemmankin osaamattomuuden saa kyllä yleensä anteeksi, valitettavasti.
Eli osakkaat maksavat, kuten myös, jos toimivat verotukseen liittyvien väärien neuvojen mukaisesti, jos verovähennyksiä ei hyväksytäkään, vaikka asian piti olla periaatteelliselta kannalta aivan selvä.
 

iqo

Vakionaama
Korkeammalla latausteholla myös latauksen hyötysuhde on jotakuinkin autosta riippumatta parempi eli vähemmän menee harakoille.
Onko tosiaan näin? Löytyykö tästä jotain tutkimusta, johon olisit törmännyt. Muistelen, että täällä foorumillakin on esitetty täysin päinvastaista näkemystä, ehkäpä sitten puhtaasti mutuun perustuen.
 

Mikki

Hyperaktiivi
Jos vaikka rivitaloyhtiöstä puhutaan, niin kyllä mahdolliset ostajat ensimmäiseksi yleensä näkevät millainen mahdollisuus autojen paikoitukselle on.

Kyllähän se aika plussaa on heti alkuun jos on siistit autokatokset, hyvin päällystetty piha ja vielä bonuksena autojen latauspisteet valmiina. Vielä kun on pari vieraspaikkaa. niin sanoisin että 100% ostajakandidaateista tässä vaiheessa lampsii tyytyväisenä asuntoa katsomaan.

Harva tuskin manaa, että onpas leväperäinen yhtiö kun on latauspisteet, eikä vielä kaikilla ole edes sähköautoa.
 

fraatti

Hyperaktiivi
Onko tosiaan näin? Löytyykö tästä jotain tutkimusta, johon olisit törmännyt. Muistelen, että täällä foorumillakin on esitetty täysin päinvastaista näkemystä, ehkäpä sitten puhtaasti mutuun perustuen.
Kyllä niistä on ollut täälläkin puhetta.

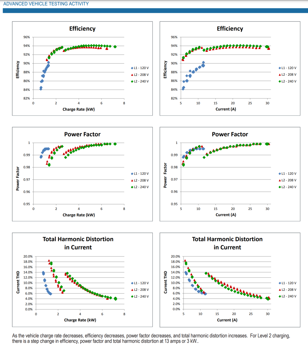
En nyt jaksanut etsiä muuta kuin tämän jenkkitutkimuksen joka ei edes näytä kovin synkälle. Tässä on testattu ainoastaan 1-vaiheista latausta 32A asti 2014 mallin autolla.
1731426970696.png


Näin yleisesti ottaen autossa lienee jotain elektroniikka aina hereillä kun autoa ladataan. Kuvitteellisessa esimerkissä jos autoa ladataan 1,8kW ja oletettu hukkateho on 200W niin harakoille menee 100/1800=11%. Jos latausteho onkin tuplat suurempi ja hukkateho vakio niin harakoille meneekin suhteessa puolet vähemmän. Toki muuttuvia tekijöitä on paljon, esim onko autossa useampia latureita, lähteekö jotain lämmityksiä tai jäähdytyksiä päälle yms.

Tuossa joku toinen mikä tuli nopeasti kookkelilla vastaan.
1731428047695.png

 
Viimeksi muokattu:
  • Tykkää
Reactions: iqo

Ton1A

Vakionaama
Oman kokemuksen mukaan optimi on noin 8-10A latausvirta kolmivaiheisena, kun käytettävissä on alue 5-24A. Talvella ei kannata turhaan pitkittää latausta, kun akun lämmitykseen menee sähköä kuitenkin alkulämmityksen jälkeen pääosin sen mukaan kuinka kauan latauksessa menee.
 

Lurkus

Vakionaama
Jos vaikka rivitaloyhtiöstä puhutaan, niin kyllä mahdolliset ostajat ensimmäiseksi yleensä näkevät millainen mahdollisuus autojen paikoitukselle on.

Kyllähän se aika plussaa on heti alkuun jos on siistit autokatokset, hyvin päällystetty piha ja vielä bonuksena autojen latauspisteet valmiina. Vielä kun on pari vieraspaikkaa. niin sanoisin että 100% ostajakandidaateista tässä vaiheessa lampsii tyytyväisenä asuntoa katsomaan.

Harva tuskin manaa, että onpas leväperäinen yhtiö kun on latauspisteet, eikä vielä kaikilla ole edes sähköautoa.
Juuri näin. Näkisin että latauspisteet kannattaa asentaa rahallisesti, vaikka kellään ei olisi sähköautoa yhtiössä. Uudessa yhtiössähän näin juuri on kun ei ole vielä asukkaitakaan.
 

RauskiH

Vakionaama
Oman kokemuksen mukaan optimi on noin 8-10A latausvirta kolmivaiheisena, kun käytettävissä on alue 5-24A. Talvella ei kannata turhaan pitkittää latausta, kun akun lämmitykseen menee sähköä kuitenkin alkulämmityksen jälkeen pääosin sen mukaan kuinka kauan latauksessa menee.
Tuntui oikeilla pakkasilla sukolla ladatessa ettei tainnut mennä kun joka toinen kwh akkuun ja joka toinen sen lämmitykseen joten tällöin on varmasti hyötysuhteeltaan paras ladata niin isolla virralla kuin mahdollista
 

pamppu

Hyperaktiivi
Tuo lämmityshomma pakkasella kannattaa tutkia oman auton osalta, Aika vamaan LFP-akkuisiahan on pakko lämmittää aina jos akku on mennyt pakkasen puolelle. Muut kemiat saattaa sietää latausta johonkin tehoon x asti lämmittämättä. Eli eri autoissa on erilainen sweetspotti tuon suhteen. Paras on toki jos saa ajon jälkeen heti ladattua. Tai lämmin talli tässä hommassa tuntuis säästävän, eli voipi olla niin että ilppi tallissa lämmittele ilmaiseksi, kun lataus sujuu häviöttä ja halvimpan aikaan.
 

fraatti

Hyperaktiivi
Tuo lämmityshomma pakkasella kannattaa tutkia oman auton osalta, Aika vamaan LFP-akkuisiahan on pakko lämmittää aina jos akku on mennyt pakkasen puolelle. Muut kemiat saattaa sietää latausta johonkin tehoon x asti lämmittämättä. Eli eri autoissa on erilainen sweetspotti tuon suhteen. Paras on toki jos saa ajon jälkeen heti ladattua. Tai lämmin talli tässä hommassa tuntuis säästävän, eli voipi olla niin että ilppi tallissa lämmittele ilmaiseksi, kun lataus sujuu häviöttä ja halvimpan aikaan.
Tuo oma kippo ei taida lämmittää akkua ladatakseen sitä. Tai ainakaan en ole tietoinen moisesta. Samoin talvella jos on kylmää niin ainakin jonkun aikaa tehot ovat alhaisemmat akun lämpötilan takia.

LFP akut taitavat olla jonkunverran rohmumpia sitten talvella kuin NMC:t. Tesloja kun on paljon kummallakin kemialla, niin kai joku on erot mitannut?

Tuossa jossain taannoisessa saksalaisessa testissä oli mittailtu näitä muistaakseni.
 

fraatti

Hyperaktiivi
En nyt löytänyt tuota vanhaa Saksalaista testiä mitä itse tarkoitin. Tässä on kuitenkin toinen. Schukosta 10A ladattaessa Renault Zoe hukkaa ladattaessa 1/4 sähköstä lämpönä johonkin. :D

1731501903427.png

Rohmusin tuosta adacin sivuilta vielä kuvan lataushäviöistä ja käänsin sen
1731502154059.png

1731502268639.png

 
Viimeksi muokannut ylläpidon jäsen:

Mase

Aktiivinen jäsen
Fraatin jutun käyristä arvelin, että auton laturin toimintatapa muuttuu jotenkin, kun ylitetään tietyt rajavirrat. Ymmärsin, että ne on mitattu yhdellä autolla. Tulos taitaa olla autokohtainen. Yliaaltojen suuri osuus osatehoilla oli yllättävä. Johtunee siitä, että laturi pätkii vaihevirran jokaista jaksoa myös pienillä osatehoilla. Onkohan yliaaltojen lisääntymistä nähty ongelmana sähköautojen vuoksi?
 

fraatti

Hyperaktiivi
Fraatin jutun käyristä arvelin, että auton laturin toimintatapa muuttuu jotenkin, kun ylitetään tietyt rajavirrat. Ymmärsin, että ne on mitattu yhdellä autolla. Tulos taitaa olla autokohtainen.
Mun mielestä tuolla on pari eri laturia, yksi hoitaa yhtä vaihetta ja toinen sitten kahta muuta.
 

Arisoft

Hyperaktiivi
Onkohan yliaaltojen lisääntymistä nähty ongelmana sähköautojen vuoksi?

Yliaaltojen lisääntyminen on yritetty estää jo ennen sähköautojen tuloa. Mitä tehokkaampi laite sitä tarkemmin sen tulee hoitaa yliaallot. Tämä koskee esim. sähköskoottereiden latureita. Yliaaltoja aiheuttaa lähes kaikki laitteet tänä päivänä. Sähköautot eivät ole siis syy, vaan niiden tulee sopeutua vallitseviin normeihin, jotka on kuitenkin aika tiukat noin tehokkaiden laitteiden osalta.

Sähkölaitoksen kannalta yliaallot ovat haitta muuntajille. Ne kuormittuvat väärin yliaalloista. Vättävät että hajoavat nopeammin.
 

kotte

Hyperaktiivi
En nyt löytänyt tuota vanhaa Saksalaista testiä mitä itse tarkoitin. Tässä on kuitenkin toinen. Schukosta 10A ladattaessa Renault Zoe hukkaa ladattaessa 1/4 sähköstä lämpönä johonkin. :D
Varsinainen erohan näyttää syntyvän siitä, että hidaslatauksessa myös 12V akku ladataan (käytännössä kunnolla), kun taas nopealla latauksella tuon lataus jää käytännössä tekemättä (ei ehdi lautautua, kun lyijyakun lataaminen normaalisti käytetyllä latausjännitteellä täyteen vie useita vuorokausia?). Onhan tuossa jotakin merkitty lisäksi rakennuksen johtohäviöksi, mutta moisiahan ei periaatteessa pitäisi syntyä, jos rakennuksen ryhmäjohdot on mitoitettu sulakkeiden mukaan normaalilla tavalla (kuten kai yleensä pitäisi).
 

Arisoft

Hyperaktiivi
Onhan tuossa jotakin merkitty lisäksi rakennuksen johtohäviöksi, mutta moisiahan ei periaatteessa pitäisi syntyä, jos rakennuksen ryhmäjohdot on mitoitettu sulakkeiden mukaan normaalilla tavalla (kuten kai yleensä pitäisi).

Kyllä niissä aina häviötä syntyy. Jo pelkästään sulakkeet lämpenee jos ei muuten. Isommilla latausvirroilla puhutaan jo sadoista wateista häviötä pelkissä syöttöjohdoissa. Esim. lumiusella pihalla oleva latauskaapeli sulaa sinne lumen ja jään sisään.
 

fraatti

Hyperaktiivi
Varsinainen erohan näyttää syntyvän siitä, että hidaslatauksessa myös 12V akku ladataan (käytännössä kunnolla), kun taas nopealla latauksella tuon lataus jää käytännössä tekemättä (ei ehdi lautautua, kun lyijyakun lataaminen normaalisti käytetyllä latausjännitteellä täyteen vie useita vuorokausia?). Onhan tuossa jotakin merkitty lisäksi rakennuksen johtohäviöksi, mutta moisiahan ei periaatteessa pitäisi syntyä, jos rakennuksen ryhmäjohdot on mitoitettu sulakkeiden mukaan normaalilla tavalla (kuten kai yleensä pitäisi).
Minkäs vuoksi se 12v akku olisi latinkia vailla ylipäätään? Luulisi että se pidetään jatkuvasti melko korkeassa varaustasossa. Itse epäilen että tuo ei selitä eroa.

Tuossa on käsitelty Zoeta.
1731565802182.png

 

jmaja

Hyperaktiivi
Aika vamaan LFP-akkuisiahan on pakko lämmittää aina jos akku on mennyt pakkasen puolelle.
Nyt näen OBD:llä LFP-akun lämpötilan (viime talvena en). Viime talvena latasi kyllä kovillakin pakkasilla akkua lämmittämättä. Toki ei kovin nopeasti pikalatauksella, mutta 1,8-3,7 kW AC-latauksella ei huomannut mitään eroa oliko -25 C vai +25 C. Auto tuntuu näyttävän akkuun menevän tehon näytössä ja appissa. Se on n. 0,5 kW vähemmän kuin latausaseman ottama.

Löytyy myös julkaisuja, joissa kerrotaan LFP-akkuja voitavan ladattavan kovillakin pakkasilla, mutta vain pienillä virroilla. Voi tietysti olla, että kiinalaiset eivät ole ymmärtäneet mun autossa rajoittaa tarpeeksi latausta pakkassella. No onhan siinä 7 v akkutakuu.


Paras on toki jos saa ajon jälkeen heti ladattua.
Ei mun autossa akku ajossa lämpene ellei valitse aktiivista lämmitystä, joka lisää valtavasti kulutusta. 38 km työmatkalla lämpenee n. asteen. Pikalatauksessa sitten enemmän.
 

Esäätäjä

Vakionaama
Minkäs vuoksi se 12v akku olisi latinkia vailla ylipäätään? Luulisi että se pidetään jatkuvasti melko korkeassa varaustasossa. Itse epäilen että tuo ei selitä eroa.
Tämä ihmetyttänyt myös, mutta on noista mm Hyundaista tuollaista juttua että pitää erikseen ladata.
Eihän tuota 12v akkua edes tarvita kun auton henkiin herättämiseen. Poikkeustapauksissa joissain autoissa tulee tilanteita että voi tyhjetä. Tesla pitää akun latingissa myös sammutettuna välillä ilmeisesti tarkkaillen, paitsi jos ajoakku on päässyt alle 20% voi myös 12v akku tyhjentyä. Siksi ei kannata jättää sentry päällä pienellä varauksella.
 

jmaja

Hyperaktiivi
Varsinainen erohan näyttää syntyvän siitä, että hidaslatauksessa myös 12V akku ladataan (käytännössä kunnolla),
Eihän noi 12 V akut ole yleensä kuin luokkaa 50 Ah lyijyakkuja. Jollei lähes tyhjä ole, ei tuollaiseen mene suurta virtaa. Miksi olisi lataustarvetta enemmin? Ajossahan tuota ladataan kuten polttiksen akkua ja ei niihin mene edes 10 A ulkoinen laturi kytkettäessä. Monet autot lataavat myös parkissa tarpeen mukaan.
 

Arisoft

Hyperaktiivi
Ajossahan tuota ladataan kuten polttiksen akkua ja ei niihin mene edes 10 A ulkoinen laturi kytkettäessä.

Ulkoisella laturilla ei ehkä ole enempää kapasiteettia, muta kyllä latausvirrat tyhejntyneeseen 12V akkuun lasketaan kymmenissä ampeereissa. Ei se kuitenkaan watteina ole hirväesti. Lisäksi väärin laskea sen varaaminen häviöksi jos se kuitenkin ladattaisiin sitten kun auto käynnistyy. Akkuhan sekin on.
 

Mase

Aktiivinen jäsen
Täysi lataus 12V*50Ah on vain 600Wh, eli 0,6kWh. Eli prosenttiluokkaa sähköauton ajoakun kapasiteetista. Ei kai järjestelmä hukkaa jännite-eroa häviöksi.
 

lorvi

Jäsen
sekin että mikä on häviö?
jos pitää akkua lämpimänä jotta sitä yleensäkin voi ladata ei mielestäni ole häviö, se kuuluu tapahtumaan onnistuakseen
 

tet

Hyperaktiivi
En nyt löytänyt tuota vanhaa Saksalaista testiä mitä itse tarkoitin. Tässä on kuitenkin toinen. Schukosta 10A ladattaessa Renault Zoe hukkaa ladattaessa 1/4 sähköstä lämpönä johonkin. :D

Volvon täyssähkäri on kohta vuoden ollut ajossa, mutta ei ollut vielä tullut mitattua lataushäviötä. Kotipihassa lataus tapahtuu sukolaturilla, olen autosta rajoittanut virran 9 A tasolle eli kutakuinkin 2 kW latausteho. Sähkö menee energiamittarin läpi, ihan perinteisen analogisen josta mittauspulssit logiikkaan.

Viime yönä n. +4 C lämpötilassa tehty 15 % lataus (SOC 65%->80%) kulutti bruttona 10,8 kWh. Uuden akun nettokapasiteetilla (66 kWh) laskettuna lataushäviö olisi vain 8,3 %. Jos oletetaan, että akku on vajaassa vuodessa menettänyt kapasiteetistaan 4 % (mikä olisi kaiketi keskivertoa suurempi pudotus), niin silloin lataushäviöksi tulisi 12,1 %.

Täytyy laskea joskus vähän isommalla pätkällä, näin pienellä latauksella lukemassa on aika suuri virhemarginaali.
 

kotte

Hyperaktiivi
Kyllä niissä aina häviötä syntyy. Jo pelkästään sulakkeet lämpenee jos ei muuten. Isommilla latausvirroilla puhutaan jo sadoista wateista häviötä pelkissä syöttöjohdoissa. Esim. lumiusella pihalla oleva latauskaapeli sulaa sinne lumen ja jään sisään.
Mutta suhteessa lataustehoon en ymmärrä, miten noista häviöitä voisi suhteessa tehoon syntyä pienemmällä latausteholla enemmän kuin suurella, jos johtojen mitoitus on OK. Mitoitus on OK, kun se on tehty normin mukaisesti.
 

kotte

Hyperaktiivi
Minkäs vuoksi se 12v akku olisi latinkia vailla ylipäätään? Luulisi että se pidetään jatkuvasti melko korkeassa varaustasossa. Itse epäilen että tuo ei selitä eroa.
Lyijyakku sattuu olemaan sellainen kapistus, että "normaalikäytössä" se on aina vajaa luokkaa 10% ... 20 %. Tuollaisella 14,2V luokkaa olevalla latausjännitteellä lyijyakun lataaminen käytännössä täyteen vie kolmisen vuorokautta. Ennen vanhaan sääntönä oli, että 12V akkua pitäisi ladata 16V ... 17V jännitteellä, jos sen yleensä aikoo saada ladatuksi täyteen, mutta silloin lataustilaa pitää aktiivisesti tarkkailla, koska jo muutaman tunnin ylitys täyden jälkeen alkaa tuhota akun levyjä. Toisaalta akun pitäminen "normaalisti" vajaana aiheuttaa sulfatoitumista ja vanhentaa näin muodoin akkua ennenaikaisesti.

Asian havaitsee käytännössä, jos vaikkapa lataa veneakkujen kaltaisia käyttökohteita keväällä aurinkopaneeleilla, kun vene killuu laiturissa. Laturihan rajoittaa jännitteen välille 14V ... 14,5V ja siirtyy lopulta ylläpitotilaan (luokkaa 13,6V), mutta kestää jopa viikkoja ennen kuin akku on niin täynnä, että se ei enää käytännössä ota lisää virtaa, vaan siirtyy heti auringon noustua ylläpitojännitteelle.
 
Back
Ylös Bottom